BANDO ILLUMINA assegnazione fondi

Dettagli della notizia

Data:

08 novembre 2022

Tempo di lettura:

Immagine che raffigura BANDO ILLUMINA assegnazione fondi
BANDO ILLUMINA assegnazione fondi

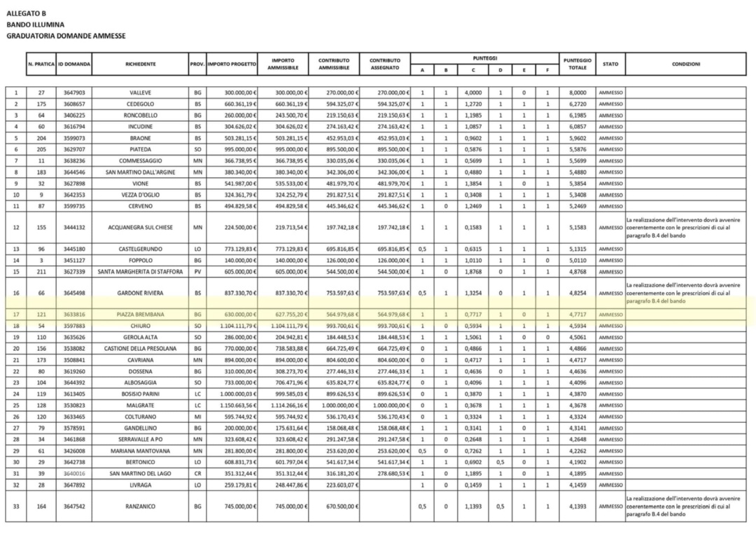
Comunico con grande soddisfazione che l’amministrazione ha aggiunto un altro importante risultato vedendoci finanziati nel BANDO ILLUMINA per un importo pari a:
€ 564.979,68
posizionandoci al posto n. 17 in regione Lombardia (31 finanziati con oltre 200 domande) e tra i primi in provincia di Bergamo, con un progetto complesso che porterà presto ad un ABBATTIMENTO COSTI ENERGETICI, al RINNOVAMENTO dell’impianto di illuminazione ed all’aggiunta di ACCESSORI funzionali all’ORDINE ed alla SICUREZZA del paese.
Il bando illumina contribuisce in maniera considerevole all’abbattimento dell’inquinamento luminoso e dell’anidride carbonica.
Cordiali saluti,
il Sindaco,
Stefano Ambrosioni

 


Ultimo aggiornamento

08/11/2022, 11:00

Quanto sono chiare le informazioni su questa pagina?

Valuta da 1 a 5 stelle la pagina

Grazie, il tuo parere ci aiuterà a migliorare il servizio!

Quali sono stati gli aspetti che hai preferito? 1/2

Dove hai incontrato le maggiori difficoltà? 1/2

Vuoi aggiungere altri dettagli? 2/2

Inserire massimo 200 caratteri